LillyAllenDesigns
Jasminsmagicworld
BarkalooDesign
Artiststas
AdoDesignShop
JahusDesignShop
BundleAndBundleShop
HRA Design Shop
FaDigitalArtStudio
Enoddigitalart@gmail.com
Afrowomandigitalshop@gmail.com
OliviaCreatesArt
CowGirlArtShop
HowdyJamesFarm
TumblerDesignByShophia
RanaPortraitStore
CTS Tumbler Store
Zillion Design Studio
NancyCooperArtShop
Texasbilliewilder
MaliasSmallBusiness
Muks_Shop
Rvexell
NReaL
Oittostudio
Nteklah
Melllux
PUBLICTEES
Gear_desain
Erdiyan
C
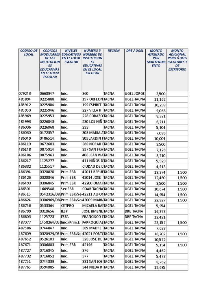
PADRON DE MANTENIMIENTO 2017 Tacna PDF Very well made.
Theiconic Retro Denim Halter Vest PriceGrabber Very well made.
Adrianna Papell Womens Sequined Knee Length Cocktail and Party Very well made.
Steve Madden Womens Aberdeen Black Mid Calf Boots 6 Medium B M Very well made.